Модель WIEDEMANN (1974), також відома як психофізична модель, і заснована на роботах Michaels (1963), використовується вже більше 30 років. І, як вважається, вона дає доволі точні результати моделювання. Декілька комерційних пакетів з моделювання, таких як Paramics і PTV Vissim, досить успішно використовують цю модель. Концепція WIEDEMANN повинна була визначити поріг сприйняття водія, який, якщо перевищений візуальним стимулом (наприклад, транспортним засобом, що наближається), викликає поведінкову реакцію. Реакція залежить від відношення між автомобілем і попереднім транспортним засобом. Декілька областей взаємодії визначені: Наближення (Approaching), Слідування (Following), Надзвичайна ситуація (Emergency) та Неупереджений (Uninfluenced). Кожній одиниці транспортного засобу водія (DVU) надають окремий набір ознак, які визначають його ведучу поведінку, наприклад, його настороженість (alertness), час реакції (reaction time), необхідність безпеки (need for safety) або готовність пришвидшитись (willingness to accelerate).
Як вже було сказано, саме ця модель використовується у програмному комплексі PTV Vissim. Основна ідея моделі полягає в тому, що водій транспортного засобу, що рухається з більш високою швидкістю, починає гальмувати при досягненні свого індивідуального порога сприйняття до транспортного засобу, що їде попереду. Тому що він не може точно оцінити швидкість поперед їдучого транспортного засобу, то його швидкість буде падати нижче швидкості поперед їдучого транспортного засобу доти, поки він не почне знову трохи прискорюватися після досягнення порога сприйняття. Це веде до постійного легкого прискорення й гальмування. Функції розподілу визначають різне поводження водія за допомогою обліку поводження при зміні швидкості й дистанції.
Зрештою, після численних вимірів, проведених у технічному університеті Карлсруе, модель стала еталонною. Новітні виміри доводять, що до цього часу змінена манера їзди й технічні можливості транспортних засобів у програмі відображені коректно. На багатосмужній проїжджій частині дороги водій враховує не тільки два транспортні засоби, що їдуть попереду, але й по два сусідні транспортні засоби на сусідніх смугах руху.
Перевага психофізичної моделі полягає в її високому рівні реалізму. Крім того, це доведено і виглядає досить надійно.
Кінематична модель
Кінематична модель використовує дуже елементарне кінематичне рівняння, щоб обчислити максимальний ступінь прискорення/уповільнення, яке транспортний засіб повинен виявити, щоб запобігти зіткненню з транспортним засобом, що рухається попереду. У кожному часовому проміжку (time-step) нова норма з an+1 повинна бути досить високою, щоб запобігти зіткненню для визначеного тимчасового інтервалу (названий часом до зіткнення, tc). Крім того, це повинно пристосувати потік після Dx відстані, щоб досягти призначеного оптимального наступної відстані (називається, dx). Швидкість корегується таким чином, щоб залишилася в інтервалі [0 … Vmax]:
Оскільки модель покладається тільки на два параметри, зусилля по калібруванню є досить малими. Але моделювання, очевидно, не досягає високих рівнів дійсності, також. Через її обмеження, кінематична модель має небагато значення в сучасному транспортному моделюванні й не рекомендована для завдань визначення розмірів дороги. Вона включена в освітній процес тільки для ознайомлення.
Імовірнісна модель BANDO
В 1995, Bando та ін. ввели Оптимальну Швидкісну Модель (OVM). Це швидкісна модель щільності, що відноситься до групи детермінованих провідних моделей і зв’язує цільову швидкість транспортних засобів із макроскопічною транспортною щільністю. Bando вводив оптимальну швидкість таким чином, щоб кожен транспортний засіб спробував слідувати відношенню:
an+ 1 – прискорення для наступного проміжку часу (time-step);
α – фактор чутливості (інверсія часу реакції водія);
Vopt – оптимальна швидкісна функція;
dx – дистанція до попереднього автомобіля;
Vn – поточна швидкість транспортного засобу.
Команда Bando запропонувала оптимальну швидкісну функцію, що монотонно збільшується, із верхньою границею Vmax.
З того часу, було модифіковано кілька оптимальних швидкісних функцій. Наприклад, використовуючи різні функції для прискорення або диференціюючи між вільною швидкістю транспортного засобу (непереповнений транспортний потік) і швидкістю на межі здатності (speed-at-capacity) (переповнений транспортний потік) з рівнянням, з 4-ма параметрами (Van Aerde, 1995).
Імовірнісна модель GAZIS
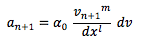
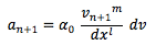
Так звана теорія слідування за автомобілем, заснована на дослідженнях Gazis, Herman і Rothery (1961), намагається наслідувати поведінку транспортного засобу, детермінуючи відстань, розглядаючи час реакції водія до певних стимулів (різноманітні швидкості для попереднього автомобіля) згідно формули:
де
an+1 – прискорення після часу реакції Т;
α0 – фактор чутливості;
m, l – параметри калібрування;
dv – різниця швидкості до попереднього транспортного засобу.
Для німецьких шосе, значення параметрів m і l були встановлені в дослідженнях Hoefs (1972) для різноманітних сценаріїв (віддалення або наближення автомобілю попереду, з або без гальмівних сигналів). Але, із-за сталого збільшення автомобілів на європейських дорогах, в ході розвитку BABSIM було виконано перекалібрування еталонних параметрів, що привело до нових наборів параметрів і більш реалістичних результатів моделювання.
Список використаної літератури
Стаття “Simulation and Evaluation of Freeway Traffic using Interchangeable Behavioral Models”, Kai Erlemann and Dietrich Hartmann, Institute for computational engineering, Ruhr University Bochum, Germany





