В статье приводятся наиболее распространенные математические модели транспортного потока, их сравнение и перспективы использования.
В ходе проектирования какого-либо дорожно-транспортного узла (пересечения городских магистралей в одном или в разных уровнях), у проектировщика всегда возникают вопросы, как-то: какой режим движения сформирует выбранная геометрия на запроектированном узле?; будет ли обеспечена пропускная способность точек слияния (примыкания съездов), а следовательно и всей развязки в целом?; будет ли должным образом обеспечена безопасность и комфортное движение по будущей развязке? Или же другая ситуация: каждый проект реконструкции или нового строительства дорожно-транспортного узла требует согласований на многих уровнях власти. Задача проектной организации – должным образом, объективно и доступно представить свой проект, донести его суть до людей, которые, возможно, не разбираются во всех тонкостях и специфике данной отрасли. Кроме того, любое крупное строительство в городе непременно вызывает огромный интерес у его горожан, которые также должны быть проинформированы об изменениях, которые их, возможно, ждут на улично-дорожной сети города, в котором они проживают.
Получить достоверные ответы на вышеперечисленные вопросы чрезвычайно сложно. Однако, с того момента, как на улично-дорожной сети городов начали появляется развязки в разных уровнях и другие сложные узлы, многие исследователи поставили перед собой задачу – получить более-менее достоверные данные о специфике функционирования будущего дорожно-транспортного сооружения еще на стадии проектирования или даже предпроектных предложений (концепции). Так начал развиваться раздел «Теории транспортных потоков», посвящённый их математическому моделированию.
Отечественные ученые столкнулись с данной проблематикой гораздо позже зарубежных коллег, очевидно, в силу невысокого уровня автомобилизации в бывшем СССР и плановости его экономики. В связи с этим, в данной статье не будут рассматриваться какие-либо модели, созданные отечественными исследователями Теории транспортных потоков.
Между тем, зарубежные ученые столкнулись с совершенно противоположной ситуацией. Еще Дональд Дрю (Donald Drew), в своей книге “Теория транспортных потоков и управление ими” (Traffic Flow Theory And Control) описал проблему следующего рода: многие молодые исследователи, приступающие к работе в области Теории транспортных потоков, ставят себе задачей создание «идеальной» математической модели, способной описать стохастическое движение транспортного потока языком формул. Это в конечном итоге привело к нагромождению огромного количества всякого рода моделей, начиная от одной формулы, заканчивая целыми массивами, которые способна обработать лишь вычислительная машина. Между тем, как бы там ни было, Теория транспортных потоков уже давно располагает нужным инструментарием в области моделирования транспортных потоков и «изобретать велосипед» здесь нет никакого смысла. Нужно лишь правильно использовать доступные ресурсы.
Итак, рассмотрим все ныне известные подходы к моделированию транспортных потоков.
Для начала: что же из себя представляет, собственно, процесс моделирования? Моделирование является по существу построением рабочей аналогии. Оно представляет собой построение рабочей модели, отражающей подобие свойств или соотношений с рассматриваемой реальной задачей. Моделирование позволяет изучать сложные задачи движения транспорта не в реальных условиях, а в лаборатории. В более общем смысле моделирование можно определить как динамическое отображение некоторой части реального мира путем построения модели на компьютере и продвижении ее во времени.
За последние 50 лет было создано множество математических вероятностных моделей, которые на микро и макро уровнях моделируют транспортные потоки. Некоторые из них, такие как, например, VISSIM, имеют коммерческую основу. Другие же, появились и развиваются в учебных заведениях и проектных институтах (конечно, речь идет о западных ВУЗах) в обучающих целях. Первые держатся в строжайшем секрете, а вторым недостает удобства, простоты использования и визуализации.
Модели симулирования (имитирования) движения транспортных потоков чаще всего делят на 4 класса, согласно подходу к уровню моделирования деталей. Первый уровень – это обычные макроскопические модели, где транспортный поток представляется как поток частиц, которые подчиняются законам гидрогазодинамики. Вторым уровнем выделяют наиболее часто используемые модели – микроскопические, которые сосредотачиваются на индивидуальных транспортных средствах и их поведении. В то время как макроскопические модели используют меньше вычислительных ресурсов и, поэтому, позволяют моделирование больших дорожных сетей, результаты часто менее точны по сравнению с микроскопическим моделированием. Модели третьего уровня, мезоскопические, напротив, пытаются заполнить промежуток между макроскопическим и микроскопическим моделированием при использовании индивидуальных транспортных средств, которые приводятся в действие через контролирующие макроскопические переменные. Подмикроскопические модели – это четвертый уровень, обеспечивают самый высокий уровень детализации. Поэтому они чаще всего используются для моделирования поведения одиночного транспортного средства в автомобильной промышленности.
Как правило, во всех программах, моделирование транспортного потока происходит на микроуровне. Поэтому, начнем наш обзор именно с него. Рассмотрим 6 самых распространенных вероятностных моделей.
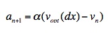
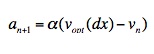
Кинематическая модель использует в своей основе элементарное кинематическое уравнение, для того чтобы определить максимальную степень ускорения либо замедления, которое транспортное средство должно проявить, чтоб избежать столкновения с другим транспортным средством, движущемся впереди. В каждом временном отрезке (time-step) новое значение an+1должно быть достаточно высоким для того, чтоб избежать столкновения в выбранном часовом промежутке, который называется временем до столкновения – tc. Кроме того, необходимо постоянно изменять расстояние Dx, чтоб достичь определенного оптимального значения следующего отрезка dx. Скорость корректируется таким образом, чтобы оставаться в пределах [0 … Vmax].
Так как модель опирается лишь на 2 параметра, усилия по ее калибровке будут достаточно невысокими. Но моделирование, очевидно, не достигнет высоких уровней правдоподобности также. Из-за ее ограничений, кинематическая модель имеет крайне малый вес в современном моделировании транспортных потоков и не рекомендована к применению с целью установления ширины проезжей части магистрали. Она включена в учебный процесс во многих ВУЗах Европы лишь с образовательной целью.
Вероятностная модель BANDO. В 1995 году Бандо и его коллеги презентовали так называемую «оптимальную скоростную модель» (Optimal Velocity Model). Она представляет собой скоростную модель плотности, которая относится к группе детерминированных ведущих моделей и связывает целевую скорость транспортных средств с макроскопической плотностью транспортного потока. Бандо вывел оптимальную скорость таким образом, чтобы каждое транспортное средство старалось следовать следующему отношению:
где:
an+1– ускорение для следующего отрезка времени;
α – фактор чувствительности (значение, обратное времени реакции
водителя);
vopt – оптимальная скоростная функция;
dx – изменение расстояния к предыдущему автомобилю;
vn – текущая скорость транспортного средства.
Команда Бандо предложила оптимальную скоростную функцию, которая монотонно увеличивается, с верхней границей в vmax.
Со временем, модель была модифицирована еще несколькими оптимальными скоростными функциями. Например, используя разные функции ускорения или дифференцируя между свободной скоростью транспортного средства (ненасыщенный транспортный поток) и скоростью на пределе пропускной способности (speed-at-capacity) (насыщенный транспортный поток) с уравнением с 4-мя параметрами (Van Aerde, 1995).
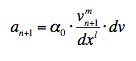
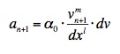
Вероятностная модель GAZIS. Так называемая теория следования за автомобилем («гонка за лидером»), основана на исследованиях Gazis, Herman і Rothery (1961), старается следовать поведению транспортного средства, детерминируя расстояние, рассматривая время реакции водителя к определенным стимулам (например, разные скорости впередиидущего автомобиля), согласно формулы:
an+1 – ускорение после времени реакции tp;
α0 – фактор чувствительности;
m, l – параметры калибровки (коэффициенты);
dx – разница скорости с предыдущим транспортным средством.
Для немецких магистралей значения параметров m і l были установлены в исследованиях Hoefs (1972) для различных сценариев (отдаление или приближение автомобиля спереди, с тормозными сигналами или без них). Однако, из-за стабильного увеличения автомобилей на европейских магистралях, в ходе развития пакета моделирования BABSIM была выполнена перекалибровка эталонных параметров, что привело к получению новых наборов параметров и более реалистичным результатам моделирования.
Вероятностная модель смены полосы движения Sparmann. Опираясь на работы Вайдемана, Спарман развивал алгоритм изменения полосы движения для двухполосного шоссе (Sparmann, 1978). Принимая во внимание все шесть потенциальных партнеров для взаимодействия (то есть каждое транспортное средство спереди, сзади на текущей полосе, а так же на двух соседних), транспортное средство могло бы изменить полосу движения, используя параметры Вайдеманна. Как только появилась потребность в изменении полосы движения, осуществляется проверка – подвергнет ли такой переход опасности или его или его так называемого “партнера взаимодействия”. Если обеспечивается безопасность всех транспортных средств, начинается процесс перестроения и транспортное средство оказывается на соседней полосе. Одно неудобство модели Спармана – нехватка более упреждающего стратегического подхода. Рассматриваются только соседствующие транспортные средства, игнорируя потребность других транспортных средств сменить полосу движения.
Вероятностная модель смены полосы движения THEIS. Тейс (1997) добавил стратегический компонент к модели Спармана: если транспортное средство пытается перестроиться на определенную полосу, оно должно для начала “просить” помощь у соседних транспортных средств. И наоборот, участвующее во взаимодействии транспортное средство должно решить, ускориться ли или замедлиться, чтобы создать интервал для меняющего полосу транспортного средства, или самому сменить полосу, чтобы создать ему место.
Модель WIEDEMANNа в составе программного комплекса PTV Vision VISSIM. Имитационное моделирование. Система имитации VISSIM состоит из двух отдельных программ, которые взаимодействуют друг с другом с помощью интерфейса, в котором происходит обмен данными измерений детекторов и данными о состояниях систем регулирования. Результат имитации – это анимация движения транспорта в виде графики в режиме реального времени и последующая выдача всевозможных транспортно-технических параметров, таких как, например, распределение времени в пути и времени ожидания, дифференцированных по группам пользователей.
В модель транспортного потока заложены модель следования за впереди идущим транспортным средством (ТС) с целью отображения движения в колонне за впереди идущим ТС по одной полосе движения и модель смены полосы движения. Зависящая от транспортного движения логика регулирования моделируется с помощью внешних программ регулирования светосигнальных установок. Программа для логического управления запрашивает параметры детекторов в такте от 1 секунды до 1/10 секунды (в зависимости от настройки и типа светофорных установок). Из полученных значений и временных интервалов программа определяет состояние всех систем регулирования для следующего шага имитации и вносят их в имитацию транспортного потока.
Существенным для точности системы имитации является качество модели потока транспортного движения, т.е. метода, с помощью которого рассчитывается передвижение транспортных средств в сети. В отличие от более простых моделей, в которых за основу берутся постоянные скорости и неизменное поведение следования за впереди идущими транспортными средствами, PTV Vision® VISSIM использует психофизиологическую модель восприятия Вайдеманна (1974 г., 1999 г.). Основная идея модели заключается в том, что водитель транспортного средства, движущегося с более высокой скоростью, начинает тормозить при достижении своего индивидуального порога восприятия относительно удаленности от впереди идущего транспортного средства, когда дистанция до впереди идущего транспортного средства начинает восприниматься им как слишком маленькая. Так как он не может точно оценить скорость впереди идущего транспортного средства, то его скорость будет падать ниже скорости впереди идущего транспортного средства до тех пор, пока он не начнет снова немного ускоряться после достижения своего порога восприятия, когда он начнет воспринимать возникшую между ним и впереди идущим ТС дистанцию как слишком большую. Это ведет к постоянному легкому ускорению и замедлению. С помощью функций распределения для скорости и дистанции имитируется различное поведение водителей.
Имитационные модели этого типа относятся к семейству car- following:
• Gazis-Herman-Rothery(GHR)
• CollisionAvoidancemodel(CA)– Модели Kametani и Sasaki, Гиппс, Лѐйцбаха, Крауса
• PsychophysicalorActionPointmodel(AP) – Модель Видеманна
• Linearmodel– Модели Helly, Hanken и Rockwell, Burnham и Seo, Aron Xing
• Fuzzylogic-basedmodel28.06.2010 – Модели Rekersbring, Henn, McDonald и Wu.
Модели семейства car-following ориентируются на характеристики индивидуального транспортного средства. Модель Вайдеманна класса PSM выигрывает по количеству учитываемых факторов в моделировании транспортного трафика на микроуровне. Модель Вайдеманна включает в себя характеристики водителя, самого транспортного средства и представляет золотую середину между клеточными автоматами и остальными классами моделей семейства car-following.
После многочисленных эмпирических исследований, проведенных техническим университетом города Карлсруэ, эта модель следования за впереди идущим ТС стала эталонной. Более актуальные измерения доказывают, что изменившаяся за последние годы манера езды и технические возможности транспортных средств корректно отображаются в данной модели.
На многополосных проезжих частях водитель в VISSIM-модели учитывает не только впереди идущие транспортные средства, но и транспортные средства на обеих соседних полосах. Особенное внимание у водителя дополнительно вызывает светофор в 100 м перед достижением стоп – линии.
В VISSIM так называемые единицы водитель – транспортное средство двигаются по сети. Каждый водитель со своими индивидуальными параметрами поведения соотносится с определенным транспортным средством. При этом манера езды совпадает с техническими возможностями транспортного средства.
Имитационное моделирование, на данном этапе представляется мощным инструментом для оценки и анализа движения транспортных и пешеходных потоков. Кроме того, программа уровня PTV Vision® VISSIM позволяет в значительной мере упростить работу проектировщика и создает достоверную платформу для проектирования как дорожно-транспортных, так и любых градостроительных объектов.
Литература
- Дрю А. Теория транспортных потоков и управление ими. “Транспорт”, 1972 г., стр. 1-424
- Метсон Т. Организация движения. Научно-техническое издательство министерства автомобильного транспорта и шоссейных дорог РСФСР, – Москва, 1960. – 462 с.
- Bando, M., Hasebe, H., Nakayama A., Shibata, A. and Sugiyama, Y. (1995) “Dynamical Model of Traffic Congestion and Numerical Simulation“. Physical Review E 51.
- Brilon, W. and Hartmann, D. (2004) “Fortentwicklung und Bereitstellung eines bundeseinheitlichen Simulationsmodells für Bundesautobahnen“. Research project FE01/157/2001/IRB for the Bundesanstalt für Straßenwesen (Federal Highway Research Institute, Germany), in cooperation with the Ruhr- University Bochum. Germany.
- Bundesministerium für Verkehr, Bau- und Wohnungswesen (BMVBW). (2004) “Neubau von Bundesautobahnen“, Sept. 2004, http://www.bmvbw.de/Neubau-von-Autobahnen-.377.htm
- Gazis, D.C., Herman, R. and Rothery, R.W. (1961) “Non-linear Follow-the-Leader Models of Traffic Flow”. Operations Research 9, No.4
- Hoefs, D.H. (1972) “Untersuchung des Fahrverhaltens in Fahrzeugkolonnen“. Straßenbau und Straßenverkehrstechnik 140.
- Michaels, R. M. (1963). “Perceptual factors in car following.” Proceedings of the Second International Symposium on the Theory of Road Traffic Flow. Paris: OECD, 44-59.
- Sparmann, U. (1978) “Spurwechselvorgänge auf zweispurigen BAB- Richtungsfahrbahnen“. Straßenbau und Straßenverkehrstechnik 263.
- Theis, C. (1997) “Modellierung des Fahrverhaltens an Autobahnanschlussstellen“. PhD-thesis. University of Karlsruhe. Germany.
- Van Aerde, M. and Rakha, H. (1995). “Multivariate calibration of single regime speed-flow-density relationships”. Proceedings of the Vehicle Navigation and Information Systems (VNIS) Conference. Seattle. Washington.
- Wiedemann, R. (1974) “Simulation des Straßenverkehrsflusses“. PhD-thesis. University of Karlsruhe. Germany.




Вы забыли модель потока В..Гука, которая опережает все Вами приведенные, но включает их в обобщенные дифференциальные уравнения, А это Украина
Здравствуйте! )) К сожалению, я не владею информацией об модели потока В.Гука. Можете либо в коментарии, либо отдельной ссылкой привести ее описание? Спасибо!